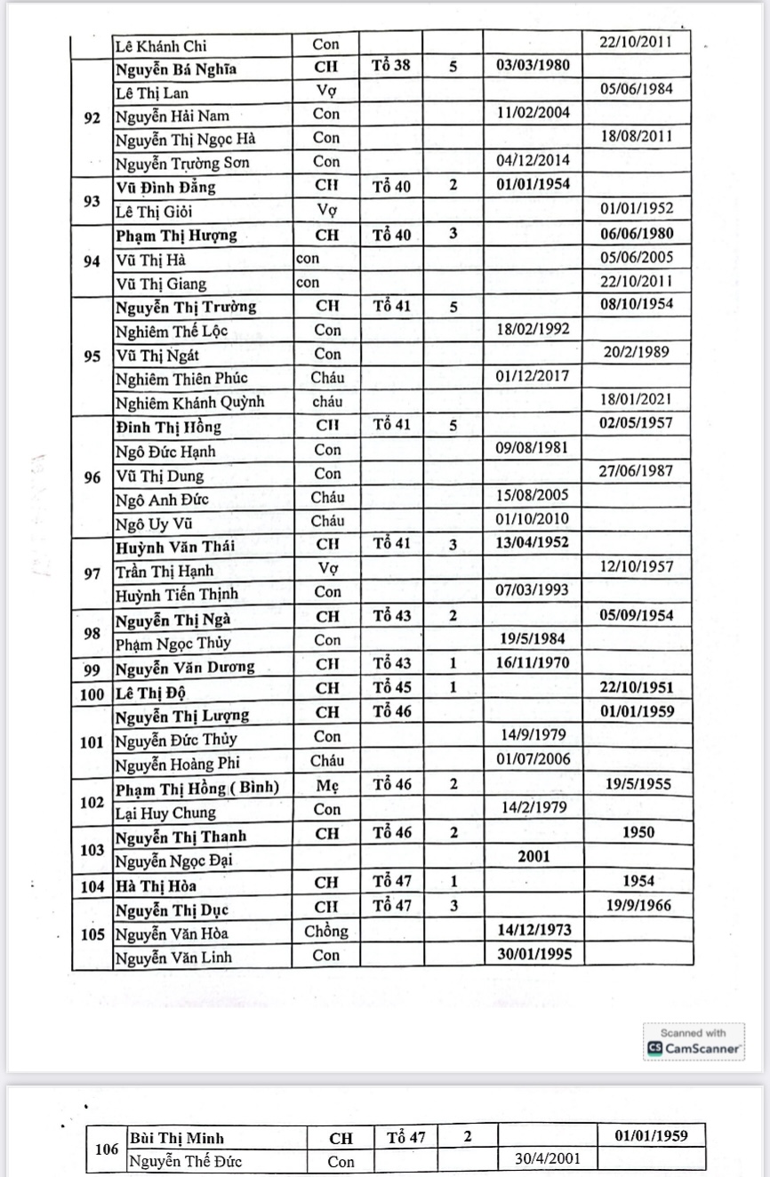
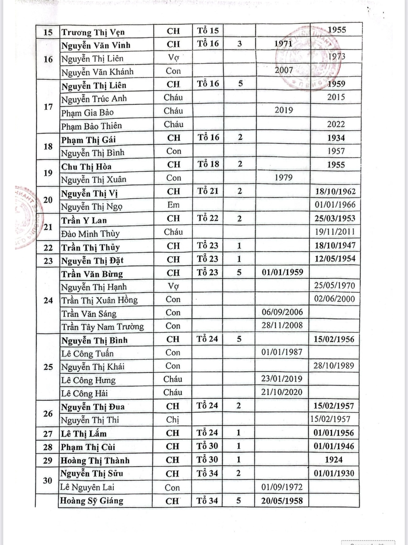
Kết quả rà soát hộ nghèo, hộ cận nghèo trên địa bàn phường Lê Thanh Nghị năm 2025.

Kết quả rà soát hộ nghèo, hộ cận nghèo trên địa bàn phường Lê Thanh Nghị năm 2025.                          

Đàm Minh Khôi
QR Code
Tin liên quan
1 2 3 
image advertisement
image advertisement
image advertisement
image advertisement
image advertisement
image advertisement
Tin mới
Thư viện ảnh
Thống kê truy cập
  • Đang online: 0
  • Hôm nay: 1
  • Trong tuần: 0
  • Tất cả: 0